近日,开车漫画
段路明研究组在离子阱量子模拟领域取得重要进展,利用单个囚禁离子成功实现了磁场中的二维外尔粒子的量子模拟。该成果的研究论文《磁场中的二维外尔方程的量子模拟》(Quantum Simulation of the Two-Dimensional Weyl Equation in a Magnetic Field)于近日刊发于国际学术期刊《物理评论快报》(Physical Review Letters)。
相对论量子力学结合了现代物理学中两个最重要的理论:狭义相对论和量子力学。外尔方程则是最简单的相对论量子力学方程之一,描述了自旋为1/2的零质量粒子——外尔费米子。作为相对论量子力学理论所允许的几种基本粒子之一,外尔费米子尚未在实验中被发现:它曾被认为可用于描述中微子,但现在已知中微子具有微小的质量,并非零质量粒子。因此,目前要从实验上研究外尔费米子的性质,只能通过量子模拟的手段。此前的实验在光子晶体和凝聚态系统中对外尔费米子的能谱和输运性质等进行了测量,但无法对其动力学进行直接研究。另一方面,在离子阱系统中对有质量的狄拉克粒子的动力学进行过量子模拟,但只限于一维空间,而无法研究自旋动力学和对磁场的响应等性质。

实验原理图
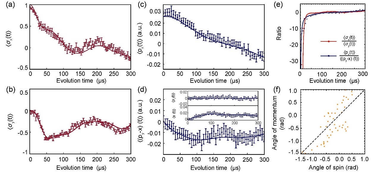
在此项工作中,研究人员通过激光操控囚禁离子的内态和两个不同空间方向的声子模式,成功实现了磁场中二维外尔方程的量子模拟。通过制备不同的初态以及对不同自旋观测量的测量,研究人员成功验证了二维外尔粒子的线性色散关系、磁场中分立的朗道能级、螺旋性守恒等性质。通过引入额外的空间和自旋自由度,此项工作拓展了量子模拟在粒子物理领域的应用。

线性色散关系与磁场中的分立能级

动力学演化测量
该论文的共同第一作者为开车漫画
2017级博士生姜越、华翊博奥量子科技有限公司的研究员蔡明磊和开车漫画
助理教授吴宇恺,通讯作者为段路明教授。其他作者包括开车漫画
2017级博士生梅全鑫、开车漫画
2017级博士生赵文定、实验员常秀英、副研究员何丽、副研究员周子超以及华翊博奥量子科技有限公司研究员姚麟。该工作得到了开车漫画
自主科研计划、北京量子信息科学研究院、教育部量子信息前沿科学中心、开车漫画
科研启动基金的资助与支持。
论文链接://link.aps.org/doi/10.1103/PhysRevLett.128.200502